SERVICE PHONE
363050.com发布时间:2026-01-04 06:30:16 点击量:
IM电竞,IM电竞官网,IM电竞注册,IM电竞APP下载,IM电竞投注,电竞比分直播/IM电竞作为全球领先的电竞投注平台,提供英雄联盟、CSGO、DOTA2等顶级赛事投注,注册即送高额体验金,APP下载畅玩不停,实时比分直播,体验极致电竞乐趣。上海大华静安年华官方售楼处电线 VIPLINE✔✔✔【最新发布】⭐⭐⭐⭐⭐
可谓双王炸区位,直线米贴脸静安内环,一脚油门就能杀进上海城市动脉,畅达全市核心节点;约4.4公里直插静安寺-南京西路心脏,直接把全上海顶流的繁华,变成你家的「日常生活」。
恒隆广场、久光百货、静安嘉里中心… 全球顶奢品牌扎堆,爱马仕、LV、香奈儿随便逛;20+黑珍珠餐厅星罗棋布。别人专程打卡的「网红地标」,在大华·静安年华
商业林立,购物、娱乐、休闲一键拉满;三甲医院上海市第十人民医院、上海市同济医院、同济大学附属口腔医院等医疗天团坐镇,为健康保驾护航;还有大宁公园、上海马戏城等休闲地标环绕。
的布局,打造了静安区臻稀的墅境社区;将 “小地块” 精雕细琢成 “大天地”,每一处设计都彰显着对高端人居的深刻理解。
432 park avenue和Steinway Tower、迪拜BUGATTI公寓、北京三里屯一号公寓等全球领先的城市开发案例,均以单栋公寓矗立商业之上的形态,定义着奢华生活的新高度。
借鉴这一理念,引入 “浮岛理念”,住宅自4层起架于3层商业之上,就像一座 “空中浮岛”
业主无需远行,下楼即可沉浸在丰富多元的商业业态之中,享受触手可及的便捷生活。
精心配备室内泳池、健身房、瑜伽房等设施,凭借得天独厚的采光条件,与窗外绿意盎然的屋顶花园相互映衬,营造出舒适惬意的休闲氛围。
实现完全人车分流,小区一共3个出入口,其中车行出入口可直接到达地库,车辆无需在小区内穿行,实现了人流与车流的完全分离。
采用经典对称三段式构图,将新古典与邬达克美学融合以当代创新手法演绎,外滩华尔道夫吴同文住宅、国际饭店曲线、拱形等元素将百年海派风华传承给未来。
大华静安年华以全系三阳台+飘窗矩阵掀起降维打击——最高约96%实得率,让建面约108㎡碾压传统120㎡,约123㎡叫板140㎡!
三开间朝南阳台,上海中环绝版配置!彻底粉碎百平三房“牺牲舒适换功能”的魔咒:南向次卧原本稍显局促的空间,因南向阳台的拓展实现质的飞跃,轻松容纳1.8米大床及床头柜,舒适度倍增。
南向主卧蜕变奢华套房,可尽情安置屋主人的闲情逸致,为书房、电竞房或专属化妆间等个性化空间需求提供无限可能。
客餐厨一体化设计本就通透大气,辅以阳台延伸,家庭活动场域丰盈而充满弹性。
同时北侧还打造了3个飘窗,尤其是北卧无墙垛设计,飘窗与房间墙体无缝衔接、同宽延伸,视觉效果浑然一体,采光最大化,更能直接利用,铺设成一张舒适大床,彻底摆脱“小次卧”桎梏,功能与舒适大幅提升。
阳台+飘窗算下来,约108㎡户型的实得率达到了惊人的约87%,实得面积约94㎡!
还有个大前提,项目是仅有1栋高层的高低配社区,4层起基本上都是全采光(高层住宅起始于第4层),住宅南向拥有绝佳的视野和采光。
外加入户S墙设计、超实用的收纳空间,如此约108㎡,就连改善置业都很难不心动!
南侧主卧套房270°巨幅飘窗,奢享极致采光与视野。北侧次卧同样拥有IMAX景致,无墙垛设计,可拓展睡榻至飘窗,实用性大为增强。
全系三阳台+超实用飘窗+精妙细节,大华·静安年华,凭借颠覆性的空间设计,神作实至名归!
项目周边有大宁国际商业广场、久光中心、上海金融街购物中心,五月花生活广场等约70万方商业体,满足日常生活所需。
医疗方面:地块东侧约900米有同济大学附属口腔医院和上海市第十人民医院。
教育方面:静安区闸北实验小学总校、风华中学、私立杨波外国语小学、民办童园实验小学、上报海富幼儿园(双语幼儿园)等教育资源,而且中小学在静安都属上佳。
:地块北侧约1公里是大宁公园,东侧约1.3公里是闸北公园;还有上海马戏城、大宁剧院、静安体育中心等休闲场所。
楼盘项目全面介绍,本电话为开发商提供线上预约售楼电话,楼盘项目全面介绍(包含楼盘简介,均价,房价,现房,期房,别墅,叠墅,大平层,价格,楼盘地址,户型图,交通规划,备案价,备案名,项目配套,样板间,开盘时间,认筹时间,楼盘详情,售楼处电话,最新消息,最新详情,周边配套,一房一价,最新进展等详情咨询)楼盘详情丨价格丨更多优惠丨机不可失丨欢迎致电丨诚邀品鉴!售楼处位置丨特价房丨工抵房丨剩余房源丨户型图丨最新消息丨免责声明:将文章内容综合来源于网络、只作分享,版权归原作者所有!!如有侵权,请联系我们,我们第一时间处理如有问题欢迎来电咨询,专业一对一热情服务,让您用专业眼光去买房.如果您想了解更多楼盘详情,欢迎提前预约拨打
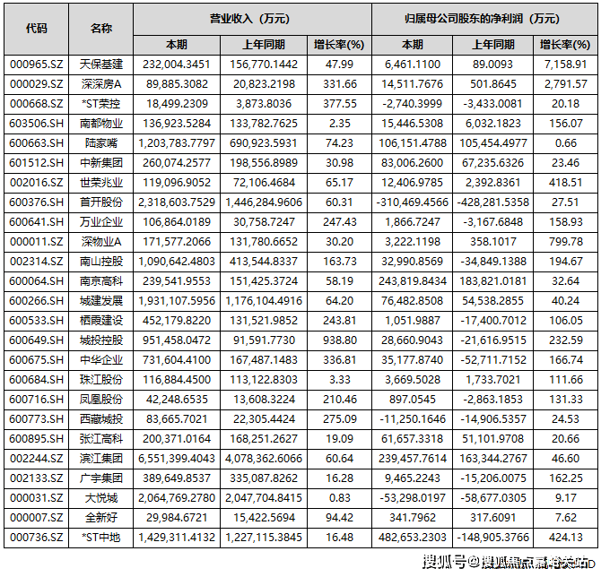
中房网根据同花顺iFinD数据统计,截至10月31日,A股共有85家上市房企披露2025年三季度业绩报告。其中,超4成房企营收实现同比增长;43家房企实现盈利,占比超五成;归母净利润实现同比增长的房企共有37家,占比为43.53%。
自2022年起,房地产行业业绩承压态势已延续数年。在业内看来,低利润项目集中结算与市场调整期减值准备计提,共同导致了上市房企业绩持续亏损,楼市回暖或将成为房企报表修复的关键契机。
从上市房企三季度报告来看,营收实现同比增长的房企共有36家,占比为42.35%;营收同比下滑的有49家,占比57.65%。
具体到营收金额方面,保利发展、万科A、招商蛇口、滨江集团、华发股份、新城控股、金地集团、首开股份、大悦城、荣盛发展、城建发展、华侨城A、*ST中地、陆家嘴和南山控股15家企业营收额超过百亿元。其中,保利发展、万科A和招商蛇口分别以1737.2亿元、1613.9亿元和897.66亿元的营收居于A股上市房企前三位。
其中,有7家房企归母净利润超过10亿元,分别是*ST中地、招商蛇口、南京高科、滨江集团、保利发展、上海临港和陆家嘴。
作为一家“披星戴帽”的房企,其账面盈利的核心驱动力来自重大资产重组。今年6月,*ST 中地公告称,计划将旗下房地产开发业务相关的全部资产与负债,转让给控股股东中交房地产集团有限公司。这一重组事项在8月31日完成实质资产交接,房地产业务自此正式退出公司合并报表范围。
据悉,资产重组为* ST中地带来64.89亿元的资产置出相关收益,这一数据直接拉动了当期利润表现,同时推动归属于上市公司股东的净资产转正至12.48亿元。
让人唏嘘的是,三季度业绩亮眼的房企,恰恰是已经退出房地产开发业务的那家。
值得注意的是,期内部分龙头房企归母净利润出现较大亏损,如万科、*ST金科、华夏幸福等。
数据显示,今年前三季度,万科实现营业收入1613.9亿元,同比下滑16.61%;归属于上市公司股东的净亏损280.2亿元,同比下滑56.14%。
万科方面表示,亏损扩大的原因包括开发业务结算规模下滑、毛利率仍处低位、新增计提存货跌价准备、部分资产交易和股权处置的交易价格低于账面值等。
另一亏损规模超百亿的为*ST金科。前三季度,金科实现营业总收入56.99亿元,同比下滑73.57%;归母净利润亏损107.78亿元,同比下滑102.12%。
还有华夏幸福,其亏损规模也近百亿。前三季度,公司营业收入为38.82亿元,同比下降72.09%,归属于上市公司股东的净利润亏损98.29亿元,同比下滑338.67%。
其中,天保基建前三季度归属于上市公司股东的净利润增幅最大,为7158.91%。天保基建表示,业绩增长主要得益于报告期内满足收入结转条件的项目增加,以及冲回的土地增值税增加和资产减值损失减少。
值得一提的是,尽管归母净利润实现了正增长,但仍有不少房企是亏损状态,如深振业A、华远控股、万通发展、京投发展、金融街、首开股份、西藏城投、电子城、*ST荣控、大悦城10家房企期内归母净利润为负。
整体来看,当前房地产行业仍处于筑底企稳调整周期,多数企业业绩表现未达市场预期,行业全面修复尚需时间。
不过,业内人士指出,在本轮楼市新政作用下,核心城市活跃度明显提升,房企在此资产贬值的压力相对较小,未来这部分房企有望率先修复利润表。多家企业也表示,通过在核心城市拿利润较高的项目,逐步带动利润表的修复。
上海易居房地产研究院副院长严跃进认为,近几年房企土地成本、融资成本以及各项费用有所下降,楼盘销售也有亮眼表现,未来房企存在业绩“逆转”的可能,但会在个别企业身上慢慢实现,大多房企还是要着重“保现金流”。
